来源:网店学堂︱时间:2014-06-24
一个爆款的生命周期是多久?一个月,一个季度,还是一年?俗话说“花无百日红”,卖家们在成功打造一个爆款后,还要利用好相关流量的引流,进而打造出另一款爆款,才能使得店铺活跃的生命周期得以循环。下面指导开店教程的小编就介绍一个以爆款打造爆款的案例,看卖家是如何利用一个爆款的关联销售和引流打造出另一款爆款,进而形成不断的循环,为店铺带来更多的利益。
建立关联销售关系网
首先,卖家可以选取店内最有优势的一款宝贝作为主推款,加入直通车进行引流。随后,为这款宝贝设置相关关联销售。
关联销售是店内宝贝的一个关系网的构架。一家店铺宝贝最少也在30个以上,这其中能够找出很多个套餐,但还是需要注意套餐搭配的意义。例如:1号套餐是连衣裙配牛仔裤;2号套餐是连衣裙搭配吊带打底衫。那么站在消费者的角度去分析,大多数消费者会选择2号套餐。因为在夏天,连衣裙当然是大多数女性消费者的首选,再搭配一件百搭的小吊带也是相当实用凉快的。
清楚了如何选择套餐的组建后,下一步就是在店铺内挑选相对应的宝贝进行关联。如图,将主推款命名为A,那么就能在店铺里面组建出AB、AC、AD、AE等多个套餐。每个宝贝下面有5个格子,也就是可以搭配5个款。当然这也需要在宝贝描述页面做出相应图文分析或是套餐搭配详情图,这样消费者才能更加了解店铺所做出的让利,并提高店铺的转化率。

此外,卖家在做主推款时需要保留利润去做广告,所以尽量避免做单件折扣,让消费者觉得这款价格能接受的同时还有惊喜。“哇,还有套餐优惠,买套餐的话就能更加便宜,更划算。”结果当然就很容易直接购买了。
此时,如果消费者想购买套餐的话一定会进入AB套餐的B款宝贝描述里面了解细节描述和产品的相关信息,那么宝贝描述里面卖家也需要做相对应的套餐关联。以此可以做BA、BC、BD、BE等,尽可能的使流量在店铺里迷路,形成回笼到成交。

当然,想要真正让一个流量在店铺迷路只有套餐是完全不够的。一个消费者如果进入店铺看完宝贝描述不喜欢就走了,会直接影响店铺的平均访问深度和时长。面对这样的结果需要继续优化店铺的宝贝页面,以更多的活动使消费者都想去了解,所以店铺的单品促销也是不可缺少的部分。


TIPS:图表解说3步直通车爆款打爆款

主推宝贝为A在主推宝贝里创建套餐 AB、AC、AD、AE,将主推宝贝用直通车去变成爆款,A引入的流量进入到B、C 、D、 E 中 其中会得出一个新的潜力款Z。

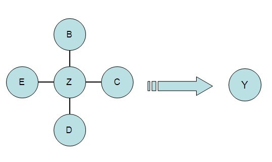
将潜力款Z放入直通车继续烧成爆款,然后流量引入到C、D、E 中后 得出另外一个新的潜力款Y。


将潜力款Y放入直通车继续培养,其中Y与Z属于套餐关系流量双向冲击。
直通车引流分析
大多数卖家想推直通车但又害怕,所以将大部分时间都放在关键词上,其实除了关键词外还有类目推广和定向推广可选择。
直通车出价原理都是一致的,不论是关键词还是类目、定向或页面推广。假如推一个产品,大多类目得分是4分,很多卖家会关心到底要怎样才能升上去。其实想操作这个类目的质量得分确实是比较繁琐的,卖家需要整理所有的数据,并进行优化,因为这关系到宝贝的展现、点击、收藏、购买等人气的提升。在具体操作过程中要保证有大量的展现较高的点击率和较高的成交转化率,其次才是收藏。相应的,如果抬高出价就会得到很高的展现,然后优化好图片与标题会提升点击率;完善宝贝描述详情和关联销售与促销活动可以提高转化率;流量大了,宝贝描述做好了,自然收藏也会提升了。
定向出价是没有任何参考值的,全靠感觉出价与量子实时访问。当然卖家也可以夺取搜索下自己要推定向的宝贝,定向的展现就是消费者有购买需求就会展现在他的屏幕里。当然不建议卖家点击同行的直通车广告,点击左边类目排名宝贝就可以了。定向推广是积累在一定经验基础上的,操作多了就会了解其原理。

如图,直通车的流量占了55.49%,这就意味着这个店铺的生命支柱是直通车的广告。数据来源的店铺是4月份转型夏季款上完宝贝才营业的,刚开始推的时候直通车的流量占到80%左右,慢慢的流量就会平均化,等到了直通车流量只占30%左右的时候这个店铺才能脱离庇护独自行走。


在这55.49%的直通车流量中,定向推广47%,类目为39.56%,也就是说直通车里流量最大的是定向,然后是类目,再是关键词。该月总的直通车月花费为7万多,销售产品1.7万件,平均每件的广告费用为5元左右,这个数字其实并不高,一般服饰类商品的利润都有超过5元。总之,卖家通过直通车引流来不断打造爆款,就是利用套餐和活动等关联促销提升转化率,衍生新的潜力款;然后再放入直通车引流,再利用套餐和关联销售提升转化率,衍生出新的潜力款,以此周而复始打造爆款。同理也就是卖家利用直通车引流,通过售出广告费下降省钱,再到衍生潜力款赚钱,再去花钱,再省钱 再赚钱,以此形成一个三角关系。
【网店学堂 wangdian.hznzcn.com】